GHG Emission

 

The Science Based Targets initiative (SBTi) is a collaboration between the CDP (was Carbon Disclosure Project), the United Nations Global CompactWorld Resources Institute (WRI) and the World Wide Fund for Nature (WWF).  Since 2015 more than 1,000 companies including FIVE have joined the initiative to set a science-based climate target. The Science Based Targets initiative was established in 2015 to help companies to set emission reduction targets in line with climate science and Paris Agreement goals.

In 2023 FIVE committed to setting Science based emission reduction targets in line with a 1.5 Degree Scenario. In accordance with SBTi commitment, FIVE has 24 months to confirm its approved targets from its commitment date.

SBTi Commitment Letter.pdf

As a growing international company, FIVE has set its sustainability targets based on efficiency-driven KPI’s in lieu of absolute reduction benchmarks. By measuring marginal efficiency improvements, the company is able to accommodate the organic dynamics of operational expansion while still tracking and pursuing improvements in utility consumption and GHG emission.

As FIVE properties distinguish themselves through their immersive entertainment ecosystems featuring homegrown Food and Beverage outlets, which draw both hotel guests and outside visitors, the hotel measures its utility consumption against ‘Covers’, defined as the sum of in-house guests and walk-in guests. In this way, ‘consumed per capita’ KPI’s track utility performance against the group’s most holistic and relevant factors of consumption.

Likewise, ‘intensity’ KPI’s measure utility and GHG emission performance against million AED generated, as a mechanism for mapping carbon footprint against business performance, or more specifically, FIVE’s economic engine.

Ultimately, over a longer term, and where in line with sound business and operational rationale, FIVE will aspire to set absolute targets such as is required to confirm its Science-Based (SBTi) pathways towards GHG emission reduction by 2025.

SCOPE 1 AND SCOPE 2 EMISSIONS:

In 2023, we assessed the emissions in 100% of the operational hotels we own, lease, and manage in Dubai.

The inventory is a complete and accurate quantification of the amount of GHG emissions that can be directly attributed to the organization’s operations within the operational control approach and was prepared in accordance with the Greenhouse Gas Protocol and ISO 14064-1:2018.

List of Organization-Wide Facilities Included in this Inventory:

  • FIVE Palm Jumeirah Hotel, Dubai, UAE – 100% Operational control
  • FIVE Jumeirah Village Hotel, Dubai, UAE – 100% Operational control
  • FIVE Zurich Hotel, Zurich, Switzerland – 100% Operational control

The GHG emissions sources included in this inventory are those required with reference to the methodology described in the GHG Protocol and ISO 14064-1 standards. Identification of emissions sources was achieved through the solicited technical expertise of ESG Enterprise and personal communications with FIVE Holdings staff and cross-checked against operational expenditure records for the reporting period. These records were viewed in order to see what activities may be associated with emissions from all of the operations. FIVE subsequently obtained assurance on its Scope 1 and Scope 2 figures and respective Carbon Use Intensity KPI from Ernst & Young. This was a part of Ernst and Youngs Limited ESG Assurance.

As adapted from the GHG Protocol, these emissions were classified into the following categories:

  • Direct GHG emissions (Scope 1): GHG emissions from sources that are owned or controlled by the company.
  • Indirect GHG emissions (Scope 2): GHG emissions from the generation of purchased electricity, heat and steam consumed by the company.

All data was calculated using excel sheets and GHG emissions factors as published by the Department for the Environment, Food and Rural Affairs (DEFRA) UK, UAE GHG Inventory report, DEWA sustainability reports

A calculation methodology has been used for quantifying the GHG emissions inventory using emissions source activity data multiplied by GHG emissions or removal factors.

FIVE’s emission intensity ratio in both scopes has improved since the baseline year of 2020, largely due to measures aimed at reducing emissions and improving energy efficiency in our facilities and equipment.

GHG-Report-2020.pdf

GHG-Report-2021.pdf

GHG-Report-2022.pdf

Carbon use intensity

FIVE has obtained renewable energy for 100% of its Dubai hotels’ electricity through DEWA and certified by I-REC for the year 2022 which has aided in yielding a substantial reduction of FIVE’s carbon emissions for 2022.

*Since FIVE Zurich consumption is only for a period of six months, we do not have a year’s target to set a target from the baseline year. However, on an estimate basis we are targeting a minimum of 5% reduction over the existing carbon use intensity computed by 2025.

 

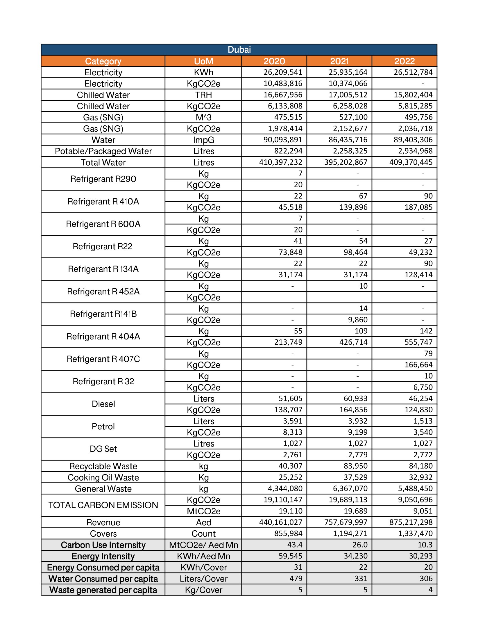
Scope 1 and Scope 2 inventory – Dubai

 

Scope 1 and Scope 2 inventory – Zurich

At FIVE, we take our environmental impact seriously and are committed to measuring and reducing our greenhouse gas emissions. Our emission inventories cover relevant greenhouse gases, including carbon dioxide (CO2), fluorinated hydrocarbons (HFC and PFC), sulfur dioxide (SO2), and nitrogen dioxide (NO2), across scope 1 and scope 2. By conducting comprehensive greenhouse gas inventories, we are able to identify areas where emissions can be reduced and work to implement solutions to minimize our environmental footprint. At FIVE, we recognize the importance of taking action on climate change and are committed to doing our part to create a more sustainable future.

 

Other Greenhouse Gas emission details

We have also implemented a comprehensive calculation methodology to quantify our GHG emissions inventory using emissions source activity data multiplied by GHG emissions or removal factors. By utilizing these methods, we ensure that all our emission data is accurate and reliable. We are dedicated to continuously improving our sustainability practices and reducing our environmental impact.

DEFRA Methodology_Emission Factors 2022.pdf

DEFRA Methodology_Emission Factors 2021.pdf

DEFRA Methodology_Emission Factors 2020.pdf

Scope 3

As a growing organization, FIVE recognizes the importance of sustainability and reducing our impact on the environment. As part of its Sustainability Objective Reducing emissions and managing climate related risk and opportunities, FIVE has set a target to “to begin including and measuring Scope 3 categories against GHG Protocol’s 15 criteria by 2025.” On the path to achieving its goals, FIVE has identified and began engaging with its first Scope 3 elements including the emissions associated with its landfill waste as well as its supplier and extended supplier operations. FIVE is committed to evaluating and monitoring its scope 3 emissions in order to continue building a sustainable environment at FIVE.